DNS: Supersonic Channel Flow With Mixed Thermal Wall Conditions
Introduction
A series of direct numerical simulations (DNSs) has been performed of supersonic plane channel flow between isothermal (cold) and adiabatic (hot) no-slip walls to investigate the effect of thermal wall conditions. A range of mean temperature/density variations, corresponding to effective/edge Mach numbers between 1.1 to 2.2, and wall-variable-based Reynolds number from 73 to 3800, is considered.
Configuration and example results
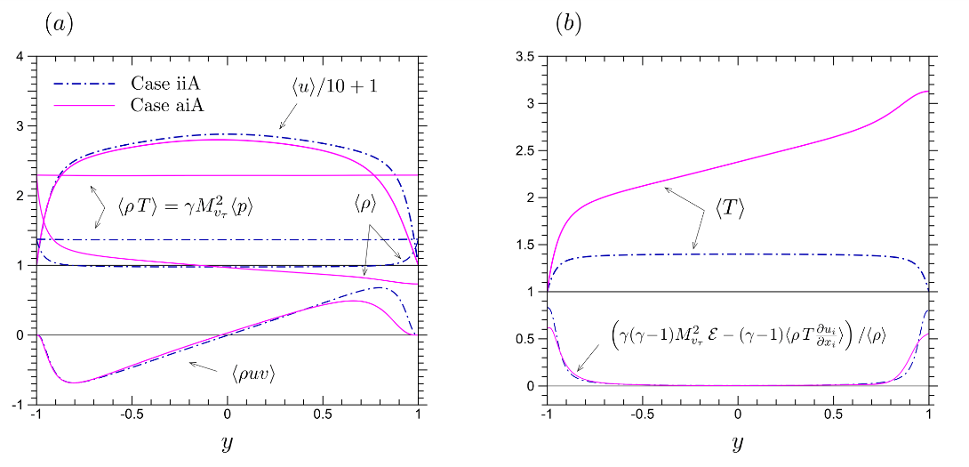
The flow is periodic in the homogeneous streamwise (x) and spanwise (z) directions with a uniformly spaced mesh. The wall-normal mesh (y) is stretched between the two no-slip viscous walls. Cases with both double isothermal walls (ii) and one adiabatic and one isothermal (ai), are considered. In the mixed thermal case, this leads to asymmetric temperature profiles across the channel, as pictured below.

A full description of the cases is provided in [1] (Lusher, Coleman, IJCFD (2023)). Example statistics shown to the left vary in the wall-normal direction (y) for both doubly-isothermal (Case iiA) and mixed adiabatic-isothermal (Case aiA) conditions.
An adiabatic to isothermal wall temperature ratio of 3.13 is observed in this case.
Statistics Downloads
Turbulent statistics are provided for the ten cases outlined in the table below from [Lusher, Coleman, IJCFD (2023)], and an additional two cases (denoted “_2025”) at higher Reynolds numbers.
The statistics are Reynolds/Favre-averaged in the homogeneous (x) and (z) directions and in time. In total, wall-normal (y) profiles are provided for 61 flow quantities in each of the data downloads below.
Full descriptions of the setup and results are provided in:
D.J. Lusher and G.N. Coleman, "Numerical Study of Compressible Wall-Bounded Turbulence - the Effect of Thermal Wall Conditions on the Turbulent Prandtl Number in the Low-Supersonic Regime," International Journal of Computational Fluid Dynamics (DOI: https://doi.org/10.1080/10618562.2023.2189247).
To expand the range of Reynolds considered, certain cases make use of a Reynolds number step function on the adiabatic wall side (denoted “2” in the case names below). Other cases employ a heat-sink term (slide 2, above), denoted with ”s” to increase the core Mach number of the flow.
| Case Name | Reντ | Mντ | Heat Sink: ψ0 | Statistics File |
|---|---|---|---|---|
| iiA | 190.7 | 0.0955 | 0 | Download |
| aiA | 193.9 | 0.0969 | 0 | Download |
| aiB | 400 | 0.0955 | 0 | Download |
| aiC | 600 | 0.135 | 0 | Download |
| aiD | 780 | 0.0955 | 0 | Download |
| aiD2 | 780 / 1560 | 0.0955 | 0 | Download |
| aiE | 1200 | 0.20 | 0 | Download |
| aiE2s | 1200 / 2400 | 0.20 | 102.4 | Download |
| aiE2s_2025 | 1250 / 3937.5 | 0.20 | 102.4 | Download |
| aiF2 | 1070 / 2354 | 0.0955 | 0 | Download |
| aiF2_2025 | 1575 / 3937.5 | 0.0955 | 0 | Download |
| aiF2s | 1070 / 2354 | 0.0955 | 78.14 | Download |
The statistics files are provided in Tecplot ascii (.dat) format. Further details are provided in the README.v3.txt file: Download.
This DNS database is the result of collaborative work between Dr. Gary N. Coleman (NASA Langley) and Dr. David J. Lusher (JAXA Chofu).
All simulations were performed in the OpenSBLI open-source CFD solver. Full details on the code implementation and numerical methods are available in [2,3].
Computational resources were provided by JAXA’s JSS3 supercomputer, the NASA LaRC K-cluster, and NASA Advanced Supercomputing (NAS) division.
NASA TMR data mirror: https://turbmodels.larc.nasa.gov/Other_DNS_Data/supersonic_channel_mixed.html
References
- [1] D.J. Lusher and G.N. Coleman, "Numerical Study of Compressible Wall-Bounded Turbulence - the Effect of Thermal Wall Conditions on the Turbulent Prandtl Number in the Low-Supersonic Regime," International Journal of Computational Fluid Dynamics (2023). DOI: https://doi.org/10.1080/10618562.2023.2189247
- [2] D.J. Lusher, A. Sansica, N.D. Sandham, J. Meng, B. Siklosi, A. Hashimoto. OpenSBLI v3.0: High-fidelity multi-block transonic aerofoil CFD simulations using domain specific languages on GPUs. Computer Physics Communications 307, 109406 (2025). DOI: https://doi.org/10.1016/j.cpc.2024.109406
- [3] D.J. Lusher, S.P. Jammy, N.D. Sandham. OpenSBLI: Automated code-generation for heterogeneous computing architectures applied to compressible fluid dynamics on structured grids. Computer Physics Communications 267, 108063 (2021). DOI: https://doi.org/10.1016/j.cpc.2021.108063
- A high priority was placed on the accuracy and convergence of the DNS statistics. Users however are reminded that their accuracy is within a certain limit imposed by the grid resolution and numerical scheme employed. The database may be updated without any notification.
- When publishing the results using the downloaded data, users should clarify the source of the data, such as by quoting the above references.
-
Disclaimer : JAXA Policy (https://global.jaxa.jp/policy.html)
Please be aware in advance that: Although JAXA has taken every care to manage the Site, JAXA assumes no responsibility regarding the safety of the contents of the Site or the reliability of information provided on the Site. JAXA is not responsible to you for any damage that may be caused by the use of the Site and/or the information on the Site. JAXA may change or delete the information on the Site, or may suspend or terminate the operation of the Site without any prior notice. JAXA is not responsible to you for any inconvenience that may be caused by such changes or deletion of the information, or by such suspension or termination of the operation of the Site. - Rights for all information including the data, pictures and charts in this database are reserved by JAXA.